
University of Oklahoma Libraries
Define visualizations for data
What, why, and how of data-driven visualizations
What: goals of graphing
Why: human perception
How: design and defaults
How to get more help

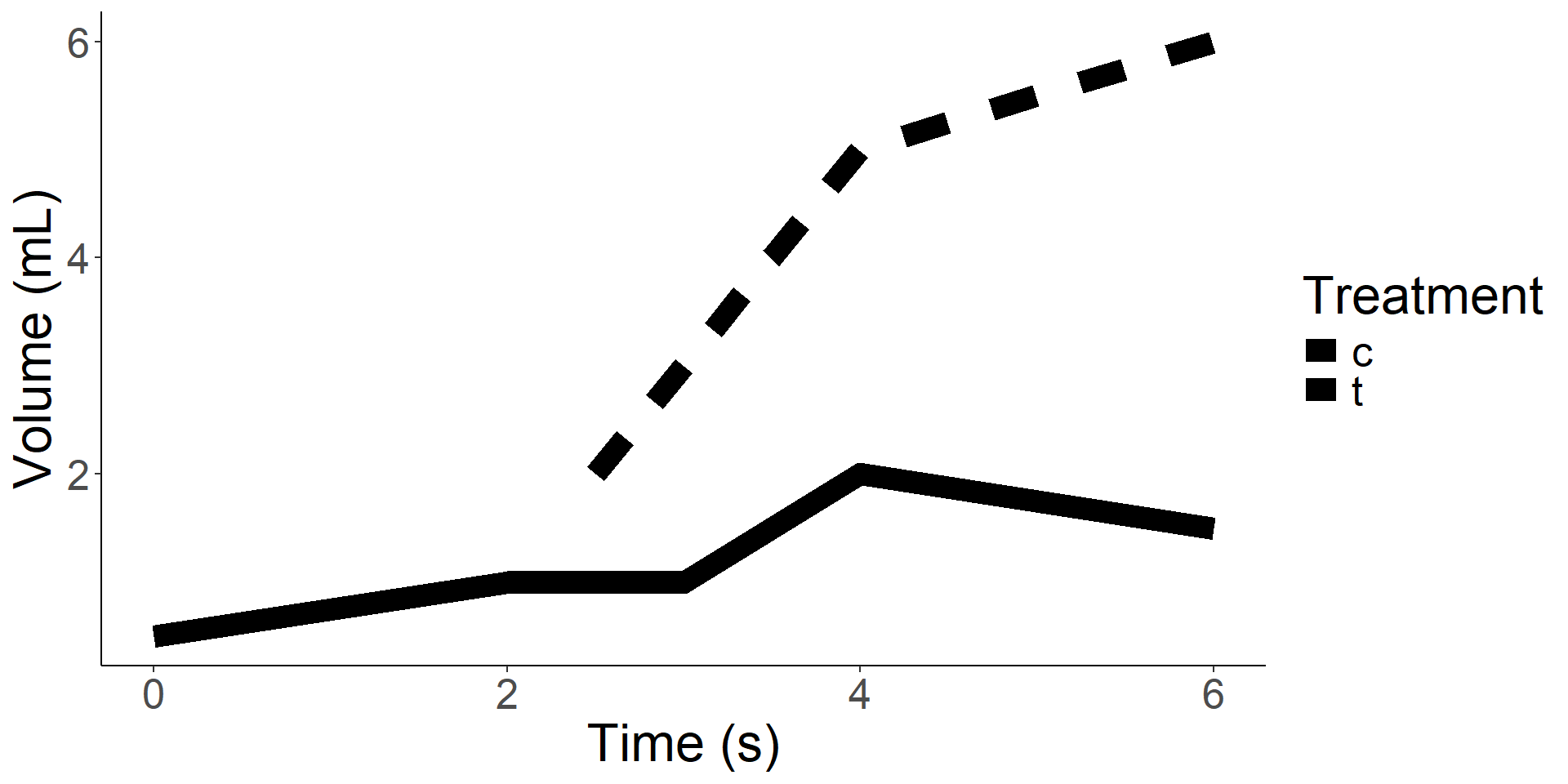
What variables are included?
What question could this graph answer?
What is confusing to you?
What, why, and how of data-driven visualizations
What: goals
Why: human perception
How: design and defaults
Lots of new and classic visualization resources!








x y z
1 0.0 0.5 c
2 2.0 1.0 c
3 3.0 1.0 c
4 4.0 2.0 c
5 6.0 1.5 c
6 2.5 2.0 t
7 3.0 3.0 t
8 3.5 4.0 t
9 4.0 5.0 t
10 6.0 6.0 t





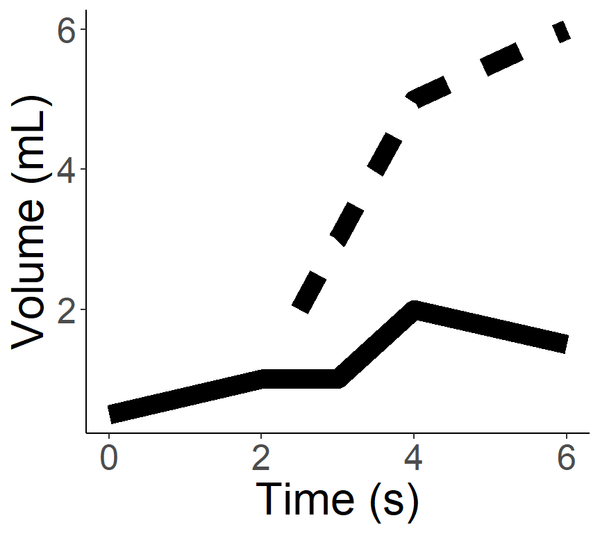
Three ways to design systematically1
Show what you need to show!












“Visual complexity is distracting and should therefore never be employed to a degree that exceeds the actual complexity in the data”1










x y z
1 0.0 0.5 c
2 2.0 1.0 c
3 3.0 1.0 c
4 4.0 2.0 c
5 6.0 1.5 c
6 2.5 2.0 t
7 3.0 3.0 t
8 3.5 4.0 t
9 4.0 5.0 t
10 6.0 6.0 t








What variables are included?
What is confusing?

OU Libraries Digital Scholarship and Data Services
